КВС расторгают договоры с управляющими организациями-неплательщиками: список

По состоянию на 1 августа 2023 года задолженность управляющих организаций Саратова перед ООО «Концессии водоснабжения — Саратов» составила 253 млн рублей. В связи с тем, что с июня ряд УК, ТСЖ, ЖСК прекратили платить за питьевую воду и канализацию своевременно и в полном объеме, КВС переводят абонентов, находящихся в обслуживании данных компаний, на прямые расчеты. Соответствующие уведомления направлены в организации, управляющие домами, в Государственную жилищную инспекцию и комитет по жилищно-коммунальному хозяйству администрации города Саратова.

Напомним, что в соответствии с законодательством переход на прямые договоры возможен как по инициативе собственников помещений в многоквартирных домах, так и по инициативе ресурсоснабжающей организации. КВС вправе заключить прямые договоры с собственниками помещений в многоквартирных домах, если управляющая организация не исполняет обязательства по оплате оказанных услуг холодного водоснабжения и водоотведения и имеет задолженность перед компанией в размере, превышающем 2 и более расчетных периодов.

В июне и июле 2023 года по инициативе КВС переведены на прямые расчеты многоквартирные дома, которые находились под управлением ЖКС «Ракета», ЖСК «Строитель», ТСЖ «Магистраль-1», ТСЖ «Олимп», ТСЖ «Рассвет», ТСЖ «ВЕСНА», ЖСК «Аист-99», ЖСК «Монолит-1», ТСЖ «Весенняя, 10», ТСЖ «Оптимист», ЖСК-3 «Молодежный», ТСН «Мичуринский», ТСЖ «ПОЛИГОН С-21», ЖСК при областном управлении связи, ООО УК «Олимп», ООО УК «ВЕСТА-С», ЖСК «Кировец», ЖСК «Ветеран-82», ТСН «Сокол». Общая сумма задолженности данных организаций — более 7 млн рублей.

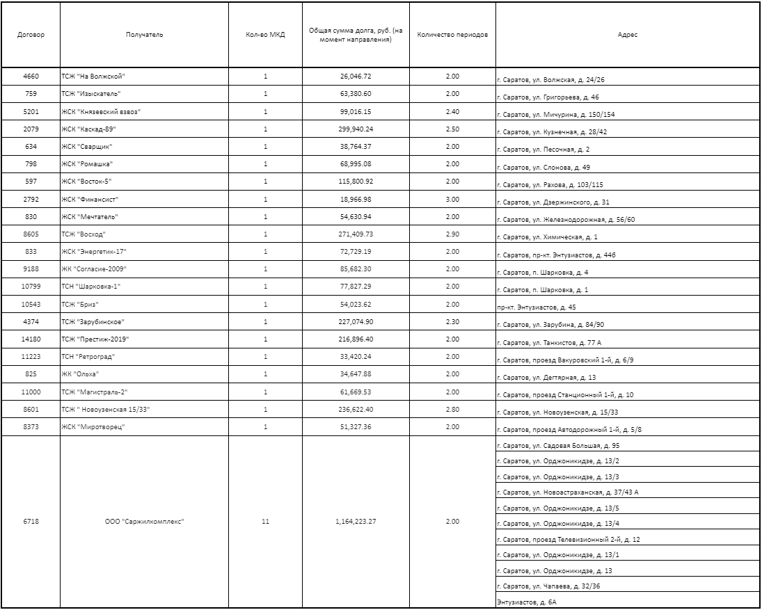
В октябре 2023 года при условии непогашения имеющихся долгов будут расторгнуты договоры водоснабжения и водоотведения еще с 22 управляющими организациями, ТСЖ, ТСН, ЖСК. С их перечнем, суммой задолженности, адресами домов, которые находятся в обслуживании компаний, можно ознакомиться ниже (фото клакабельно).

Источник: пресс-служба ООО «Концессии водоснабжения — Саратов»